📝 Ejercicios de racionalizar
-
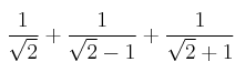
Opera y simplifica

-
Racionaliza las siguientes expresiones:
– a)
– b)
-
Racionaliza la expresión:

-
Racionaliza el denominador de la siguiente expresión:

-
Racionaliza los denominadores y simplifica:
– a)
– b)
-
Racionaliza denominadores y simplifica cuando se pueda:
– a)
– b)
-
Racionaliza los siguientes denominadores:
–
–
-
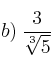
Racionaliza los siguientes denominadores:
–
–![b) \: \frac{3}{\sqrt[3]{5}} b) \: \frac{3}{\sqrt[3]{5}}](local/cache-TeX/695adf58b43dc9a9fc500ac45c85d9c5.png)
-
Racionaliza los siguientes denominadores y simplifica:
–
–
-
Racionaliza el denominador y simplifica
–
–
-
Racionaliza el denominador y simplifica
–
–
-
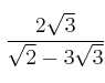
Racionaliza, opera y simplifica

-
Racionaliza los siguientes radicales:
–
–
–
-
Racionaliza, opera y simplifica

-
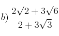
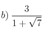
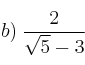
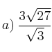
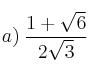
Racionaliza las siguientes expresiones:
– a)
– b)
-
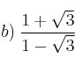
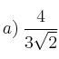
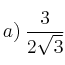
Racionaliza las siguientes expresiones:
– a)
– b)![\frac{7}{\sqrt{3}\cdot \sqrt[3]{2}} \frac{7}{\sqrt{3}\cdot \sqrt[3]{2}}](local/cache-TeX/4b4848d370783e0d744c6e095a1b4c5b.png)
-
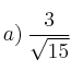
Racionaliza los denominadores de las siguientes expresiones:

-
Racionaliza los denominadores de las siguientes expresiones:

-
Racionaliza los denominadores de las siguientes expresiones:
– a)
– b)
-
Racionaliza el denominador y simplifica
–
–
- 1
- 2