📝 Ejercicios de sistema_no_lineal
-
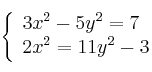
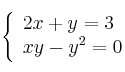
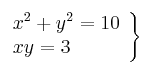
Resuelve el sistema de ecuaciones:

-
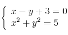
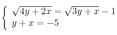
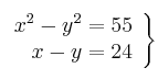
Resuelve el sistema de ecuaciones:

-
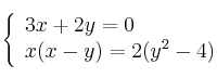
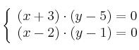
Resuelve el sistema de ecuaciones:

-
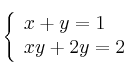
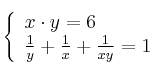
Resuelve el sistema de ecuaciones:

-
Resuelve el sistema de ecuaciones:

-
Resuelve el sistema de ecuaciones:

-
Resuelve el sistema de ecuaciones:

-
Resuelve el sistema de ecuaciones:

-
Resuelve el siguiente sistema de ecuaciones:

When \(a \ne 0\), there are two solutions to \(ax^2 + bx + c = 0\) and they are \(x = {-b \pm \sqrt{b^2-4ac} \over 2a}.\) -
Resuelve el sistema de ecuaciones:

-
Resuelve el sistema de ecuaciones:

-
Resuelve el sistema de ecuaciones:

-
Resuelve el sistema de ecuaciones:

-
Resuelve el sistema de ecuaciones:

-
Resuelve el sistema de ecuaciones:

-
Resuelve el sistema de ecuaciones:

-
Resuelve el siguiente sistema de ecuaciones:

-
Resuelve el sistema de ecuaciones:

-
Resuelve el sistema de ecuaciones:

-
Resuelve el sistema de ecuaciones:

- 1
- 2