📝 Ejercicios de teorema_resto
-
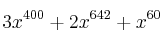
Aplica el teorema del resto para calcular el resto de las siguientes divisiones de polinomios:
– a)
– b)
-
Razona:
– ¿Es
factor de
?
– ¿Es
factor de
?
– ¿
es divisible por
?
– ¿Es
raíz de
?
-
Calcula ’a’ y ’b’ para que el polinomio
sea divisible por
y de un resto de 9 al dividir por 
-
Halla
,
y
para que el polinomio
sea divisible por
,
y de resto 4 al dividirlo por 
-
Determine el valor de
, para que el polinomio
, tenga una raíz igual al doble de la otra. -
Halla
y
para que el polinomio
sea divisible por
y al dividirlo por
de 2 de resto
-
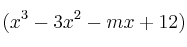
Hallar
y
para que el polinomio
sea divisible por
y por 
-
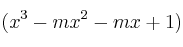
Hallar
y
para que el polinomio
sea divisible por
y además verifique que al dividir por
se obtenga el mismo resto que al dividir por 
-
Razona:
– ¿Es
raíz de
?
– ¿Es
factor de
?
-
Calcula el valor de
para que el polinomio
sea divisible por 
-
Usa el teorema del resto para calcular el resto de la división:

-
Dado el polinomio
, calcula el valor de
para que:– a)
sea divisible por
– b) El resto de la división de
entre
sea igual a 
-
Halla el valor de
para que el polinomio
sea divisible por 
-
Calcula el valor de
para que el polinomio
verifique:– a) sea divisible por
– b) el resto de la división entre
sea 
-
Halla el valor de
para que el polinomio
sea divisible por 
-
Halla el valor de
para que al dividir el polinomio
por
se obtenga 9 de resto
-
Averigua el resto de las siguientes divisiones:
–
–
-
Usa el teorema del resto para calcular el resto de la siguiente división:

-
Usa el teorema del resto para calcular el resto de la siguiente división:

-
Calcula el resto de la siguiente división:

- 1
- 2