📝 Ejercicios de integrales inmediatas
-
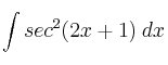
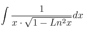
Resuelve la integral:
–

-
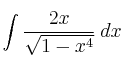
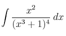
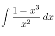
Resuelve la integral:
–

-
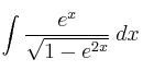
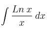
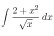
Resuelve la integral:
–

-
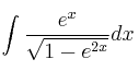
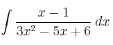
Resuelve la integral indefinida

-
Resuelve la integral:

-
Resuelve la integral:

-
Resuelve la integral:

-
Resuelve la integral:

-
Resuelve la integral:
–

-
Resuelve la integral:
–

-
Resuelve la integral:
–

-
Resuelve la integral:
–

-
Resuelve la integral:
–

-
Resuelve la integral:
–

-
Resuelve la integral:
–

-
Resuelve la integral:
–

-
Resuelve la integral:
–

-
Resuelve la integral:
–

-
Resuelve la integral:
–
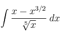
![\int \frac{x-x^{3/2}}{\sqrt[5]{x}} \: dx \int \frac{x-x^{3/2}}{\sqrt[5]{x}} \: dx](local/cache-TeX/a07bd361e14f2f24fefd3eb0d825a996.png)
-
Resuelve la integral:
–
