📝 Ejercicios de igualdad_trigonométrica
-
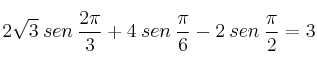
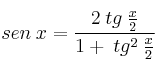
Comprueba que la siguiente expresión trigonométrica es cierta:

-
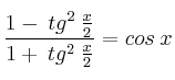
Comprueba que la siguiente expresión trigonométrica es cierta:

-
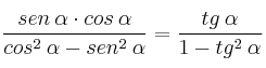
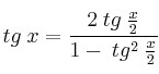
Demuestra la siguiente igualdad trigonométrica:

-
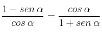
Demuestra la siguiente igualdad trigonométrica:

-
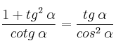
Demuestra la siguiente igualdad trigonométrica:

-
Demuestra la siguiente igualdad trigonométrica:

-
Demuestra la siguiente igualdad trigonométrica:

-
Demuestra la siguiente igualdad trigonométrica:

-
Demuestra la siguiente igualdad trigonométrica:

-
Demuestra la siguiente igualdad trigonométrica:

-
Demuestra la siguiente igualdad trigonométrica:

-
Demuestra la siguiente igualdad trigonométrica:

-
Demuestra la siguiente igualdad trigonométrica:

-
Demuestra la siguiente igualdad trigonométrica:

-
Demuestra la siguiente igualdad trigonométrica:

-
Demuestra la siguiente igualdad trigonométrica:

-
Comprueba la siguiente igualdad trigonométrica:

-
Comprueba la siguiente igualdad trigonométrica:

-
Demuestra la siguiente igualdad trigonométrica

-
En un triángulo ABC, rectángulo en A, demuestra que se cumplen las siguientes igualdades:
–
–
–
- 1
- 2