📝 Ejercicios de operaciones con números complejos
-
Efectúa la siguiente operación con números complejos:

-
Efectúa el siguiente cociente de complejos en forma polar, expresando el resultado en forma binómica:

-
Efectúa el siguiente cociente de complejos en forma polar, expresando el resultado en forma binómica:

-
Efectúa las siguientes operaciones con números complejos:
–
–
-
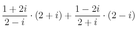
Efectúa la siguiente operación con números complejos:

-
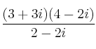
Efectúa la siguiente operación con números complejos:

-
Realiza las siguientes operaciones con números complejos:
–
–
–
–
-
Efectúa las siguientes operaciones con números complejos:

-
Efectúa las siguientes operaciones con números complejos:

-
Efectúa las siguientes operaciones con números complejos:

-
Sea
y
dos números complejos. Calcula
,
y
.
Representa los resultados obtenidos en el apartado anterior en el plano complejo.
-
Calcula en forma binómica:

-
Calcula en forma binómica:

-
Calcula en forma binómica:

-
Realiza las siguientes operaciones con números complejos:
–
–
–
–
–
-
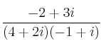
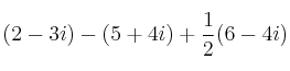
Efectúa la siguiente operación con números complejos:

-
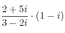
Efectúa la siguiente operación con números complejos:

-
Efectúa la siguiente operación con números complejos:

-
Efectúa la siguiente operación con números complejos:

-
Efectúa la siguiente operación con números complejos:

- 1
- 2