📝 Ejercicios de números complejos
-
Calcular
![\sqrt[3]{-i} \sqrt[3]{-i}](local/cache-TeX/06ca3a2da7d9cdf5e3d80e3059d5cc30.png)
-
Efectúa la siguiente operación con números complejos:

-
Efectúa el siguiente cociente de complejos en forma polar, expresando el resultado en forma binómica:

-
Efectúa el siguiente cociente de complejos en forma polar, expresando el resultado en forma binómica:

-
Demuestra que la suma de un número complejo más su conjugado es un número real.
-
Demuestra que el producto de un número complejo por su conjugado es un número real.
-
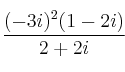
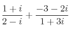
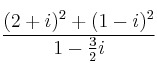
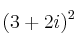
Efectúa la siguiente operación con números complejos:

-
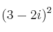
Efectúa la siguiente operación con números complejos:

-
Resuelve:
–
–
-
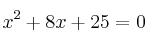
Resuelve la ecuación

-
Comprueba si
es solución de la ecuación 
-
Expresa en forma polar (y comprueba gráficamente) los reales puros 4 y -3
-
Expresa en forma polar (y comprueba gráficamente) el complejo (4 + 3i)
-
Expresa en forma polar el complejo

-
Expresa en forma binómica el complejo

-
Expresa en forma binómica el complejo

-
Expresa en forma polar los siguientes números complejos:
,
,
,
,
,
,
, 
-
Realiza las siguientes operaciones con números complejos:
–
–
–
–
-
Efectúa las siguientes operaciones con números complejos:

-
Efectúa las siguientes operaciones con números complejos:
