📝 Ejercicios de límites sucesiones
-
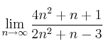
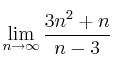
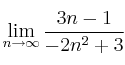
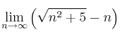
Halla el siguiente límite de sucesiones:

-
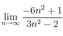
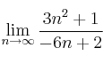
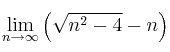
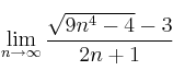
Halla el siguiente límite de sucesiones:

-
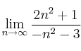
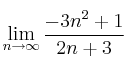
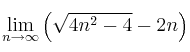
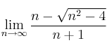
Halla el siguiente límite de sucesiones:

-
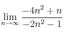
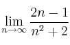
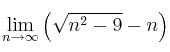
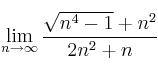
Halla el siguiente límite de sucesiones:

-
Halla el siguiente límite de sucesiones:

-
Halla el siguiente límite de sucesiones:

-
Halla el siguiente límite de sucesiones:

-
Halla el siguiente límite de sucesiones:

-
Halla el siguiente límite de sucesiones:

-
Halla el siguiente límite de sucesiones:

-
Halla el siguiente límite de sucesiones:

-
Halla el siguiente límite de sucesiones:

-
Halla el siguiente límite de sucesiones:

-
Halla el siguiente límite de sucesiones:

-
Halla el siguiente límite de sucesiones:

-
Halla el siguiente límite de sucesiones:

-
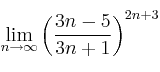
Halla el siguiente límite de sucesiones:

-
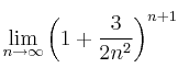
Halla el siguiente límite de sucesiones:
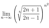
![\lim\limits_{n \rightarrow \infty}\left( \sqrt[5]{\frac{2n+1}{2n-1}} \right)^{n^2} \lim\limits_{n \rightarrow \infty}\left( \sqrt[5]{\frac{2n+1}{2n-1}} \right)^{n^2}](local/cache-TeX/83935923d060a1661299f9f3f06d3a6d.png)
-
Halla el siguiente límite de sucesiones:

-
Halla el siguiente límite de sucesiones:

- 1
- 2