📝 Ejercicios de matriz adjunta
-
Dada la matriz
, calcula todos los Adjuntos
-
Dada la matriz
, calcula los Adjuntos
y 

-
Dada la matriz
, calcula los Adjuntos
y 

-
Calcula las adjuntas de las siguientes matrices

-
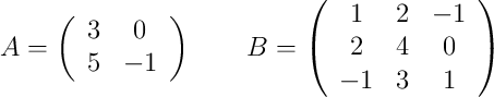
Dadas las siguientes matrices

Indica razonadamente cuáles de las siguientes operaciones se pueden hacer y cuáles no y realiza todas aquellas que sí se puedan:
– a)
– b)
– c)
– d)
– e)