📝 Ejercicios de números complejos
-
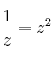
Resuelve, en el conjunto de los complejos, la siguiente ecuación y expresa las soluciones en forma binómica

-
Halla el valor de
en la siguiente expresión para que sea un número complejo imaginario puro

-
Halla el valor de
en la expresión
para que:–
sea un número complejo imaginario puro
–
sea un número complejo real puro -
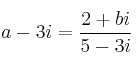
Dado el número complejo
, halla el valor de
para que el módulo de
valga 
-
Dado el número complejo
, halla el valor de
para que el módulo de
valga 
-
Calcula:
–
–
–
-
Encuentra un polinomio sabiendo que sus raíces son:
y 
-
Encuentra un polinomio sabiendo que sus raíces son:
y 
-
Encuentra un polinomio sabiendo que sus raíces son:
y 
-
Halla el valor de el número real
para que
se un número complejo imaginario puro.
-
Dado el complejo
, comprueba que 
-
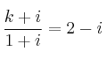
Halla el valor de
para que se cumpla la siguiente igualdad:

-
Halla el valor de
y
para que se cumpla la siguiente igualdad:

-
Halla el valor de
y
para que se cumpla la siguiente igualdad:

-
Halla el valor de
y
para que se cumpla la siguiente igualdad:

-
Halla el valor de
para que la expresión
se convierta en:
– a) Número Complejo Imaginario puro
– b) Numero Real -
Dados los complejos
y
; halla el valor de
para que los módulos de z y z’ sean iguales.
-
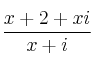
Halla el valor de
para que el siguiente número complejo sea imaginario puro:

-
Expresa en forma binómica y en forma polar el complejo:

-
Halla el valor de
para que
sea un complejo imaginario puro.