📝 Ejercicios de operaciones radicales
-
Calcula y simplifica:

-
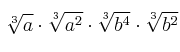
Calcula y simplifica:
– a)
– b)
– c)
-
Opera y simplifica:
– a)
– b)![\left[ \left( \sqrt{2}-1 \right)^2 - 1\right] \cdot \sqrt{2} \left[ \left( \sqrt{2}-1 \right)^2 - 1\right] \cdot \sqrt{2}](local/cache-TeX/2e788117a0cee34d704c2d3b110823d8.png)
-
Opera y simplifica:
– a)
– b)
-
Calcula y simplifica
![\sqrt[3]{3993a} - \sqrt[3]{3a^4} + \sqrt[6]{65561a^2} \sqrt[3]{3993a} - \sqrt[3]{3a^4} + \sqrt[6]{65561a^2}](local/cache-TeX/f19c50ad3fa00d61d1ca9b1c55ef6d09.png)
-
Calcula y simplifica:

-
Calcula y simplifica:
– a)
– b)![\: \frac{\sqrt[8]{8}}{\sqrt{2} \cdot \sqrt[4]{3}} \: \frac{\sqrt[8]{8}}{\sqrt{2} \cdot \sqrt[4]{3}}](local/cache-TeX/d2fe7128727f310da60759faa0245a26.png)
-
Calcula y simplifica
