📝 Ejercicios de fracciones_algebraicas
-
Opera y simplifica:

-
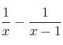
Calcula y simplifica:

-
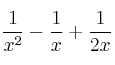
Calcula y simplifica:

-
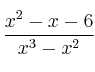
Simplifica la expresión:

-
Averigua si es cierta la siguiente igualdad

-
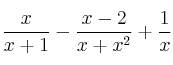
Calcula y simplifica:

-
Halla los valores de
y
para que las siguientes fracciones sean equivalentes:
y 
-
Indica si son equivalentes las siguientes fracciones:
y 
-
Calcula y simplifica:
–
–
-
Calcula y simplifica:
–
–
-
Comprueba si las siguientes fracciones son equivalentes:
y 
-
Calcula y simplifica:

-
Indica si las siguientes fracciones son equivalentes:
y 
-
Indica si las siguientes fracciones algebraicas son equivalentes:
y 
-
Indica si las siguientes fracciones algebraicas son equivalentes:
y 
-
Indica si las siguientes fracciones algebraicas son equivalentes:
y 
-
Encuentra una fracción algebraica equivalente a
con denominador 
-
Encuentra una fracción algebraica equivalente a
con denominador 
-
Indica si las siguientes fracciones algebraicas son equivalentes:
y 
-
Indica si las siguientes fracciones algebraicas son equivalentes:
y 