📝 Ejercicios de potencias
-
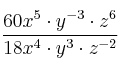
Simplifica:

-
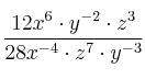
Simplifica:

-
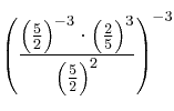
Calcula y simplifica:

-
Escribe en notación científica:
– a)
– b)
-
Expresa en notación científica las cantidades:
– a) doce mil millones
– b)
-
Escribe en notación decimal:
– a)
– b)
-
Expresa en notación decimal:
– a)
– b)
-
Tenemos un cubo de lado

– a) ¿Cuánto vale su volumen?
– b) Si duplicamos el lado
, ¿se duplicará también el volumen?. Razona la respuesta.
– c) Comprueba los resultados anteriores con un ejemplo numérico -
Con pequeños cubitos hemos construido un cubo grande que tiene 10 cubitos de lado.
– a) ¿Cuántos cubitos contiene el cubo grande?
– b) Si ponemos el triple de cubitos por lado ¿necesitaremos el triple de cubitos para construir el cubo grande? -
Simplifica la expresión:

-
Calcula el resultado de las siguientes potencias y raíces:
a)

b)

c)

d)

e)

f)

-
Calcula el resultado de las siguientes potencias y raíces:
a)

b)

c)

d)

e)

f)

-
Calcula, simplifica y expresa el resultado como potencia de exponente natural:

-
Calcula, simplifica y expresa el resultado como potencia de exponente entero:

-
Opera las siguientes expresiones usando notación científica:
– a)
– b)