📝 Ejercicios de operaciones_con_fracciones
-
Opera y simplifica:

-
Opera y simplifica:

-
Opera y simplifica:

-
Opera y simplifica:

-
Opera y simplifica:

-
Opera y simplifica:
![\frac{2}{9} : \left[ \left( 3 - \frac{1}{4} \right) \cdot \left( - \frac{4}{3} \right) \right] \frac{2}{9} : \left[ \left( 3 - \frac{1}{4} \right) \cdot \left( - \frac{4}{3} \right) \right]](local/cache-TeX/38d7d6c383e966257961355c257b813a.png)
-
Opera y simplifica:
–
–
-
Opera y simplifica:

-
Opera y simplifica:
![\left[ 1 + \frac{2}{3} - \frac{1}{5} \left( 2 - \frac{3}{4} \right) \right] : \left[ \frac{2}{3} \left( \frac{5}{4} - 2 \right) + 1 \right] \left[ 1 + \frac{2}{3} - \frac{1}{5} \left( 2 - \frac{3}{4} \right) \right] : \left[ \frac{2}{3} \left( \frac{5}{4} - 2 \right) + 1 \right]](local/cache-TeX/18e6c91046bcfa79076c52df8807384e.png)
-
Opera y simplifica:
![- \frac{1}{2} \cdot \frac{6}{5} : \left[ \left(4 - \frac{3}{8}+\frac{2}{5} \right) \cdot (-9) \right] - \frac{1}{2} \cdot \frac{6}{5} : \left[ \left(4 - \frac{3}{8}+\frac{2}{5} \right) \cdot (-9) \right]](local/cache-TeX/eef76bdffd27754b6e90f764c7250140.png)
-
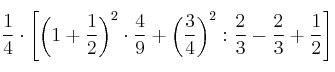
Opera y simplifica:
![\frac{1}{4} \cdot \left[ \left( 1+\frac{1}{2} \right) ^2 \cdot \frac{4}{9} + \left( \frac{3}{4} \right) ^2 : \frac{2}{3} - \frac{2}{3} + \frac{1}{2} \right] \frac{1}{4} \cdot \left[ \left( 1+\frac{1}{2} \right) ^2 \cdot \frac{4}{9} + \left( \frac{3}{4} \right) ^2 : \frac{2}{3} - \frac{2}{3} + \frac{1}{2} \right]](local/cache-TeX/201d2268b223c12d5b6eeedb943a2f5c.png)
-
Opera y simplifica:

-
Opera y simplifica:
–
–
-
Opera y simplifica:

-
Opera y simplifica:
![\frac{2}{9} : \left[ \left( 3 - \frac{1}{4} \right) \cdot \left( -\frac{4}{3}\right) \right] \frac{2}{9} : \left[ \left( 3 - \frac{1}{4} \right) \cdot \left( -\frac{4}{3}\right) \right]](local/cache-TeX/b91a9c3fc1b4d8555dbf4dd5d5e62d35.png)
-
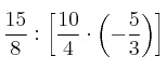
Opera y simplifica:
![\frac{15}{8}: \left[ \frac{10}{4} \cdot \left( - \frac{5}{3} \right) \right] \frac{15}{8}: \left[ \frac{10}{4} \cdot \left( - \frac{5}{3} \right) \right]](local/cache-TeX/c5df2490656ea740234adaac3fc514f7.png)
-
Opera y simplifica:
![\left( 1-\frac{7}{4} \right) : \frac{5}{12} \cdot \left[ \frac{1}{2}-\frac{2}{9} \cdot \left( - \frac{3}{4} \right) \right] \left( 1-\frac{7}{4} \right) : \frac{5}{12} \cdot \left[ \frac{1}{2}-\frac{2}{9} \cdot \left( - \frac{3}{4} \right) \right]](local/cache-TeX/f4331a5c13dd39c0974e7dfe6e107fe8.png)
-
Opera y simplifica:
![-\frac{1}{2} \cdot \frac{6}{5} : \left[ \left( 2-\frac{1}{2} \right)^2 - \left( \frac{1}{2} - \frac{2}{4} \right)^2 \right]^2 -\frac{1}{2} \cdot \frac{6}{5} : \left[ \left( 2-\frac{1}{2} \right)^2 - \left( \frac{1}{2} - \frac{2}{4} \right)^2 \right]^2](local/cache-TeX/55d2cc85d0cd129f626082db6d09c79c.png)
-
Opera y simplifica:
![3^2 \cdot \left[ \frac{1}{3} - \left( \frac{7}{2} -5 \right) \right] : \left( -\frac{3}{8} \right) - \left( \frac{9}{4} - \frac{11}{6} \right) 3^2 \cdot \left[ \frac{1}{3} - \left( \frac{7}{2} -5 \right) \right] : \left( -\frac{3}{8} \right) - \left( \frac{9}{4} - \frac{11}{6} \right)](local/cache-TeX/348a85712d1ab43269357bff65bac54a.png)
-
Calcula y simplifica
