📝 Ejercicios de trigonometría
-
Resuelve la ecuación:

-
Resuelve la ecuación:

-
Resuelve la ecuación:

PISTA: Divide todo por ...
-
Resuelve la ecuación

-
Resuelve la ecuación:

-
Resuelve la ecuación:

-
Resuelve la ecuación:

-
Resuelve la ecuación:

-
Dada la ecuación trigonométrica
, se pide:– soluciones menores de 360 grados
– expresar todas las soluciones mediante un parámetro
– indicar una solución negativa -
Resuelve la ecuación:

-
Resuelve la ecuación

-
Resuelve la ecuación

-
Resuelve la ecuación:

-
Resuelve la ecuación:

-
Resuelve la ecuación:

-
Resuelve la ecuación:

-
Resuelve la ecuación:

-
Resuelve la ecuación:

-
Resuelve la ecuación:

-
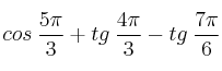
Calcula
