📝 Ejercicios de funciones
-
Dada la función
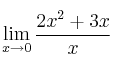
Calcula los siguientes límites:–
–
–
-

-
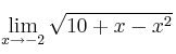
Calcula
en los siguientes casos:–
–
–
–
–
–
-
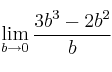
Calcula los siguientes límites de funciones:
–
–
–
–
-
Calcula los siguientes límites de funciones:
–
–
–
–
-
Calcula los límites de las siguientes funciones cuando x se acerca a +infinito.

-
Calcula los siguientes límites aplicando la regla de L’Hôpital tantas veces como te haga falta:
a)

b)

c)

d)

-
Calcula
en los siguientes casos y dibuja sus asíntotas:–
–
–
–
-
Calcula los siguientes límites y representa gráficamente el resultado obtenido:
–
–
-
Calcula los siguientes límites y representa gráficamente el resultado obtenido:
–
–
-
Calcula los siguientes límites y representa gráficamente el resultado obtenido:
–
–
-
Calcula los siguientes límites y representa gráficamente el resultado obtenido:
–
–
-
Calcula los siguientes límites y representa gráficamente el resultado obtenido:
–
–
-
Calcula los siguientes límites y esboza las ramas en el infinito
–
–
-
Calcula los siguientes límites y esboza las ramas en el infinito
–
–
-
Calcula los siguientes límites y esboza las ramas en el infinito
–
–
-
Estudia monotonía y extremos en la función

-
Un granjero quiere bordear un área de
en un campo rectangular y luego dividirlo a la mitad con una barda paralela a un lado del rectángulo. ¿Cómo puede hacerlo para minimizar el costo de la barda? -
José es beisbolista y le pega a la pelota con su palo a una altura de 1metro, ésta alcanza, a los 10 metros horizontales, una altura máxima de 11metros.
1) Encontrar la fórmula de la situación
2) ¿A cuántos metros de José cae la pelota?
3) ¿En qué momento sube la pelota y en cuál baja?
4) ¿Qué valores puede tomar x?. ¿Qué valores puede tomar y?
5) ¿Cuál fue la altura a los 6 metros horizontales?
6) ¿Cuántos metros horizontales recorre la pelota cuando está a 2 metros de altura? -
¿En qué punto de la curva
, la tangente es paralela a la recta que une los puntos
y
?