📝 Ejercicios de racionalizar
-
Racionaliza la siguiente expresión con radicales:

-
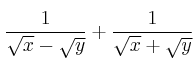
Racionaliza la siguiente expresión:

-
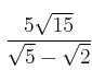
Racionaliza el denominador y simplifica
–
–
-
Racionaliza el denominador y simplifica
–
–
-
Racionaliza los denominadores y simplifica
– a)
– b)
-
Simplifica y racionaliza la expresión
![\frac{\sqrt[4]{a^3} \cdot a^{-1}}{a \sqrt{a}} \frac{\sqrt[4]{a^3} \cdot a^{-1}}{a \sqrt{a}}](local/cache-TeX/1e6ab2ef7f87de65aba537d4aef3c104.png)
- 1
- 2