📝 Ejercicios de fracciones_algebraicas
-
Opera y simplifica

-
Opera y simplifica

-
Opera y simplifica

-
Opera y simplifica

-
Opera y simplifica

-
Opera y simplifica

-
Opera y simplifica

-
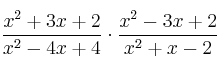
Opera y simplifica

-
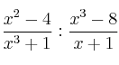
Opera y simplifica

-
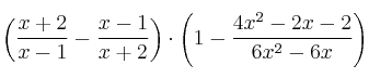
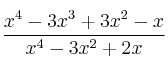
Opera y simplifica:

-
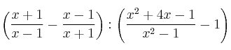
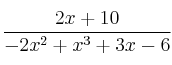
Opera y simplifica:

-
Opera y simplifica:
–
–
–
-
Descompón la siguiente fracción algebraica en una suma de fracciones simples:

-
Descompón la siguiente fracción algebraica en una suma de fracciones simples:

-
Descompón la siguiente fracción algebraica en una suma de fracciones simples:

-
Descomponer en suma de fracciones simples la fracción algebraica:

-
Descomponer en suma de fracciones simples la fracción algebraica:

-
Descomponer en suma de fracciones simples la fracción algebraica:

-
Calcula y simplifica:

-
Opera y simplifica:
