📝 Ejercicios de simplificar_radicales
-
Simplifica los siguientes radicales:
–
–
–
-
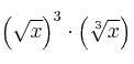
Opera y simplifica:
–
–
-
Expresa bajo un sólo signo radical:
–
–![\left( m^5 \cdot n^5 \right)^{\frac{1}{3}} \qquad \qquad \qquad \left[ (x^2)^{\frac{1}{3}} \right]^{\frac{1}{5}} \left( m^5 \cdot n^5 \right)^{\frac{1}{3}} \qquad \qquad \qquad \left[ (x^2)^{\frac{1}{3}} \right]^{\frac{1}{5}}](local/cache-TeX/d11db60f14ee7db05d2e944e5ae02a4f.png)
-
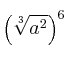
Simplifica los siguientes radicales:
–
–
–![\sqrt[10]{a^8} \qquad \qquad \sqrt[3]{\sqrt[4]{x^5x^7}} \sqrt[10]{a^8} \qquad \qquad \sqrt[3]{\sqrt[4]{x^5x^7}}](local/cache-TeX/aab59d70dc896d8b8cd20f1d2a3e4b2e.png)
-
Opera y simplifica:
–
–
–
–
–![\sqrt[3]{5^{-6}} \sqrt[3]{5^{-6}}](local/cache-TeX/5ad4af785acde2c9d7fa987a3edd16c0.png)
-
Simplifica los siguientes radicales:
–
–![b) \: \sqrt[4]{\frac{9}{16} + 1} b) \: \sqrt[4]{\frac{9}{16} + 1}](local/cache-TeX/aec52846607ea660a51ad3109ccfd6f4.png)
-
Calcula y simplifica:

-
Calcula y simplifica:

-
Calcula y simplifica:

-
Calcula y simplifica:
–
–
–
–![a) \: \sqrt[4]{\sqrt[3]{4096}} a) \: \sqrt[4]{\sqrt[3]{4096}}](local/cache-TeX/73643dd0f7ed2c257460ca3668657f44.png)
-
Calcula y simplifica:
–
–
–
–![a) \: \sqrt[4]{1296} a) \: \sqrt[4]{1296}](local/cache-TeX/e0566410cae4b2fcf2fe77906841873d.png)
-
Calcula y simplifica:
– a)
– b)
-
Simplifica los siguientes radicales:
–
–![a) \: \sqrt[3]{\sqrt[4]{x^7 \cdot x^5}} a) \: \sqrt[3]{\sqrt[4]{x^7 \cdot x^5}}](local/cache-TeX/2e67d1ccf7a5977828bf2049282bd5cd.png)
-
Simplifica la siguiente expresión
![\left (\frac{\sqrt[6]{32}}{\sqrt{8}} \right )^3 \left (\frac{\sqrt[6]{32}}{\sqrt{8}} \right )^3](local/cache-TeX/ed126aa03e1b30fdfac1940e8b203c5c.png)
-
Opera y simplifica:
![\sqrt[4]{a^2 \sqrt[3]{a \sqrt{a^3}}} \sqrt[4]{a^2 \sqrt[3]{a \sqrt{a^3}}}](local/cache-TeX/d7f90af9ed71d2c2bfb5459edf269af5.png)
-
Opera y simplifica:
– a)
– b)
– c)
– d)![\sqrt{\sqrt[3]{729}} \sqrt{\sqrt[3]{729}}](local/cache-TeX/c8c318830ebdf9dcfecf16bffcf022c1.png)
-
Simplifica y racionaliza la expresión
![\frac{\sqrt[4]{a^3} \cdot a^{-1}}{a \sqrt{a}} \frac{\sqrt[4]{a^3} \cdot a^{-1}}{a \sqrt{a}}](local/cache-TeX/1e6ab2ef7f87de65aba537d4aef3c104.png)
- 1
- 2