📝 Ejercicios de teorema_resto
-
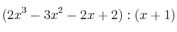
Calcula el resto de la siguiente división:

-
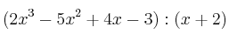
Calcula el resto de la siguiente división:

-
Indica si las siguientes divisiones son exactas:
–
–
–
–
-
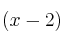
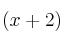
Indica si son factores:
– ¿Es
factor de
?
– ¿Es
factor de
?
– ¿Es
factor de
?
– ¿Es
factor de
? -
Halla el valor de
para que el polinomio
sea divisible por 
-
Calcula el resto de las siguientes divisiones:
– a)
– b)
-
Calcula el valor de
para que el polinomio
sea dividible por:– a)
– b)
– c)
-
Usa el teorema del resto para comprobar si los siguientes polinomios son divisibles por

–
–
-
Usa el teorema del resto para comprobar si los siguientes polinomios son divisibles por
–
–
-
Comprueba si el polinomio
es divisible por
Debes hacerlo de dos formas: usando la regla de Ruffini y mediante el teorema del resto.
-
Calcula el valor de
para que el polinomio
sea divisible por 
-
Calcula el valor de
para que el polinomio
sea divisible por 
-
Calcula el valor de
para que el polinomio
sea divisible por 
-
Usa el teorema del resto para averiguar si la siguiente división de polinomios es exacta:

-
Calcula
y
para que el polinomio
sea divisible por
y de un resto de 9 al dividir por 
-
El polinomio
es divisible entre
. Sabiendo que si lo dividimos entre
y
se obtiene el mismo resto, halla los valores de b y c.
-
Halla el valor de
de forma que al dividir el trinomio
por
, se obtenga el mismo resto que al dividir
por 
- 1
- 2