📝 Ejercicios de sist_inecuac_2_incognitas
-
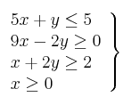
Resuelve gráficamente el siguiente sistema de inecuaciones y calcula los vértices del recinto solución:

- 1
- 2
Resuelve gráficamente el siguiente sistema de inecuaciones y calcula los vértices del recinto solución:
