📝 Ejercicios de ecuaciones_trigonometricas
-
Resuelve la ecuación:

-
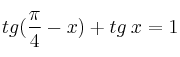
Resuelve la ecuación

-
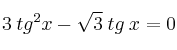
Resuelve la ecuación

-
Resuelve la ecuación:

-
Resuelve la ecuación:

-
Resuelve la ecuación:

-
Resuelve la ecuación:

-
Resuelve la ecuación:

-
Resuelve la ecuación:

-
Resuelve la ecuación:

-
Resuelve el siguiente sistema de ecuaciones, sabiendo que los ángulos
e
son del primer cuadrante:

-
Resuelve el sistema de ecuaciones trigonométricas, sabiendo que los ángulos x e y pertenecen al primer cuadrante.

- 1
- 2