📝 Ejercicios de operaciones con números complejos
-
Efectúa la siguiente operación con números complejos:

-
Realiza la siguiente operación con complejos, expresando el resultado en polar y en binómica:

-
Realiza las siguientes operaciones con números complejos:
,
, 
–
–
-
Dados los números complejos:
,
, 
Se pide:–
–
-
Calcula y expresa el resultado en forma trigonométrica:

-
Calcula

-
Efectúa y comprueba gráficamente:

-
Comprueba que la suma de un número complejo y su opuesto es siempre 0.
-
Demuestra gráfica y analíticamente que todo número complejo más su conjugado es un número real puro
-
Efectúa y comprueba gráficamente:
, donde
y 
-
Efectúa las siguientes operaciones con números complejos:
–
–
–
-
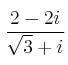
Efectúa las siguientes división de números complejos:

-
Calcula

-
Calcula
usando el Binomio de Newton
-
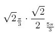
Efectúa el siguiente producto de complejos en forma polar, expresando el resultado en forma binómica:

-
Efectúa el siguiente producto de complejos en forma polar, expresando el resultado en forma binómica:

-
Efectúa las siguientes operaciones:
–
–
–
-
Efectúa el siguiente producto de complejos:

-
Realiza la siguiente operación con números complejos:
–
-
Realiza la siguiente operación con números complejos:

- 1
- 2