sistemas lineal 2x2
Resuelve el sistema de ecuaciones:

SOLUCIÓN
Resolvemos por el método de reducción

Podemos multiplicar la 1ª ecuación por 2 y así cancelar la incógnita "y"

Cancelamos y sumamos ambas ecuaciones:


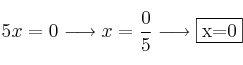
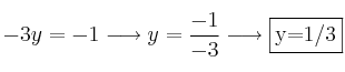
Para calcular "y" podemos usar cualquiera de las ecuaciones, por ejemplo la 1ª ecuación:
![]()
![]()

Soluciones: x=0 ; y=1/3