sistemas lineal 2x2
Resuelve el sistema de ecuaciones:

SOLUCIÓN

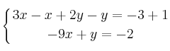
En primer lugar debemos ordenar las ecuaciones:


Ahora debemos elegir un método para resolverlo. En este caso lo vamos a resolver por el método de sustitución. Despejamos "y" en la 1ª ecuación y sustituimos en la 2ª ecuación:

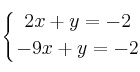
Ahora en la 2ª ecuación donde aparezca "y" ponemos "-2x-2"
![]()
![]()
![]()
![]()

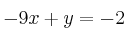
Ahora calculamos "y" en la expresión donde la teníamos despejada:
![]()

Por tanto, las soluciones son:
