polinomios identidades notables

identidades_notablespolinomios

Usando las fórmulas de los productos notables, desarrolla las siguientes expresiones, simplificando y ordenando el resultado:

Productos Notables fórmula
cuadrado de una suma (a+b)^2 = a^2 + b^2 + 2 \cdot a \cdot b
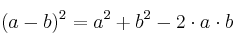
cuadrado de una diferencia (a-b)^2 = a^2 + b^2 - 2 \cdot a \cdot  b
producto suma x diferencia (a+b) \cdot  (a-b) = a^2 - b^2

 a) (3x-2)^2
 b) (\frac{x}{2}-y) \cdot (\frac{x}{2}+y)
 c) (4x-5)^2
 d) (x^2-1)^2

Comentar el ejercicio