geometría
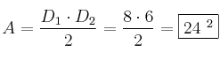
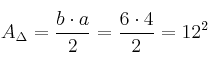
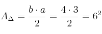
Consideramos un rombo cuyas diagonales miden 6 cm y 8 cm. Dibuja el rombo y calcula su área de tres formas:
– a) usando la fórmula del área del rombo
– b) descomponiéndolo en dos triángulos
– c) descomponiéndolo en cuatro triángulos
SOLUCIÓN
– a) usando la fórmula del área del rombo

– b) descomponiéndolo en dos triángulos


– c) descomponiéndolo en cuatro triángulos

