geometría
Averigua cuánto vale el radio de un círculo de
de área.
SOLUCIÓN
La fórmula que expresa el área de un círculo es:
![]()
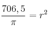
Sustituimos el área(A) por su valor:
![]()
Ahora despejamos el radio (r)


usamos la calculadora y obtenemos un valor aproximado de 15 cm
![]()