funciones ecuación_recta

ecuacion_rectaEjercicios_Resueltosfuncionespendiente

Calcula la ecuación de una recta de pendiente 5 sabiendo que pasa por el punto (0,3)

SOLUCIÓN

La ecuación de cualquier recta se puede expresar de la forma y=mx+n (donde m es la pendiente).

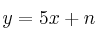
 Si la pendiente es 5, entonces la recta será: y=5x+n
 Si pasa por (0,3) significa que el punto cumple la ecuación de la recta (sustituimos x por 0 e y por 3)
3=5 \cdot 0+n
3=n
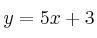
Por tanto la ecuación de la recta será:
y = 5x + 3

Comentar el ejercicio