fracciones operaciones
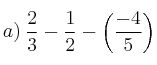
Calcula y simplifica:
–
– 
SOLUCIÓN
– ![]()
Como tienen distinto denominador, debemos reducirlas a común denominador (calculando el mínimo común múltiplo de los denominadores)
![]()
dividimos 30 entre el denominador y multiplicamos por el numerador
![]()
![]()
![]()
– 
Como tienen distinto denominador, debemos reducirlas a común denominador (calculando el mínimo común múltiplo de los denominadores)
![]()
dividimos 48 entre el denominador y multiplicamos por el numerador
![]()
![]()
![]()