fracciones operaciones
Calcula y simplifica:
– a)
– b) 
SOLUCIÓN
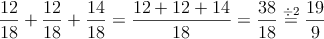
– a) 
Como tienen distinto denominador, debemos reducirlas a común denominador.
Calculamos el mínimo común múltiplo de los denominadores

![]()
![]()
![]()
![]()
– b) 
![]()
![]()
![]()
![]()
Calcula y simplifica:
– a)
– b) 
– a) 
Como tienen distinto denominador, debemos reducirlas a común denominador.
Calculamos el mínimo común múltiplo de los denominadores

![]()
![]()
![]()
![]()
– b) 
![]()
![]()
![]()
![]()