• Apuntes
  • Vídeos
  • Ejercicios
    • Resueltos
    • Por Curso
      • 1º ESO
      • 2º ESO
      • 3º ESO
      • 4º ESO
      • 1º BACH. CIENCIAS
      • 1º BACH. SOCIALES
      • 2º BACH. CIENCIAS
      • 2º BACH. SOCIALES
  • Más recursos
    • Actividades Interactivas
    • Selectividad (PAU)
    • Acceso Mayores 25
    • LaTeX
Inicio ›EJERCICIOS de Matemáticas ›3º ESO ›Números Reales ›fracciones operaciones

fracciones operaciones

Ejercicios_Resueltosfraccionesoperaciones_con_fracciones

Calcula y simplifica:
\frac{1}{2} + \frac{2}{3} - 3

SOLUCIÓN

\frac{1}{2} + \frac{2}{3} - 3

m.c.m.(2,3,1)=6

\frac{\color{blue}{3}\color{black}{\cdot 1}}{6}+\frac{\color{blue}{2}\color{black}{\cdot 2}}{6}-\frac{\color{blue}{6}\color{black}{\cdot 3}}{6}=

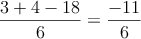
=\frac{3}{6}+\frac{4}{6}-\frac{18}{6}=

 \frac{3+4-18}{6}=\frac{-11}{6}

Comentar el ejercicio

  • 3º ESO
    • Sistemas de ecuaciones
    • Ecuaciones
    • Polinomios
    • Radicales
    • Potencias
    • Proporcionalidad y Porcentajes
    • Números Reales
    • Funciones y Gráficas
    • Sucesiones
    • Probabilidad
    • Geometría
    • Estadística
    • Problemas especiales
  • Mapa del sitio
  • Conectarse
  • 2001-2026 — Matemáticas IES — Contactar con Dani