• Apuntes
  • Vídeos
  • Ejercicios
    • Resueltos
    • Por Curso
      • 1º ESO
      • 2º ESO
      • 3º ESO
      • 4º ESO
      • 1º BACH. CIENCIAS
      • 1º BACH. SOCIALES
      • 2º BACH. CIENCIAS
      • 2º BACH. SOCIALES
  • Más recursos
    • Actividades Interactivas
    • Selectividad (PAU)
    • Acceso Mayores 25
    • LaTeX
Inicio ›EJERCICIOS de Matemáticas ›2º ESO ›Fracciones ›fracciones operaciones

fracciones operaciones

Ejercicios_Resueltosfraccionesoperaciones_con_fraccionespotencias

Calcula y simplifica:

– a) \: \left( \frac{2}{3} \cdot \frac{5}{3} \right)^2
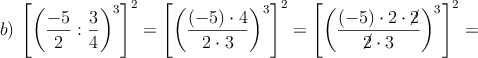
– b) \: \left[ \left( \frac{-5}{2} : \frac{3}{4} \right)^3 \right]^2

SOLUCIÓN

– a) \: \left( \frac{2}{3} \cdot \frac{5}{3} \right)^2 =\left( \frac{2 \cdot 5}{3 \cdot 3} \right)^2 = \left( \frac{10}{9} \right)^2 = \frac{10^2}{9^2}= \frac{100}{81}

– b) \: \left[ \left( \frac{-5}{2} : \frac{3}{4} \right)^3 \right]^2=\left[ \left( \frac{(-5)\cdot 4}{2 \cdot 3}  \right)^3 \right]^2=\left[ \left( \frac{(-5)\cdot 2 \cdot \cancel{2}}{\cancel{2} \cdot 3}  \right)^3 \right]^2=

\left[ \left( \frac{(-5)\cdot 2}{ 3}  \right)^3 \right]^2=\left[ \left( \frac{-10}{ 3}  \right)^3 \right]^2=\left( \frac{-10}{ 3}  \right)^6=\frac{(-10)^6}{3^6}=\frac{10^6}{3^6}

Comentar el ejercicio

  • 2º ESO
    • Fracciones
    • Potencias
    • Radicales
    • Números Enteros
    • Proporcionalidad
    • Geometría
    • Ecuaciones
    • Polinomios
    • Gráficas y Funciones 2º ESO
  • Mapa del sitio
  • Conectarse
  • 2001-2026 — Matemáticas IES — Contactar con Dani