fracciones operaciones
Calcula y simplifica:
–
– 
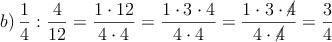
SOLUCIÓN
Para multiplicar fracciones:
Producto de fracciones
cómo multiplicar fracciones
matematicasies.com
![]()
Para dividir fracciones
Cociente de fracciones
cómo dividir fracciones
matematicasies.com
![]()