fracciones operaciones
Calcula y simplifica:
– a)
– b) 
SOLUCIÓN
– a) 
Como tienen distinto denominador, debemos reducirlas a común denominador (calculando el mínimo común múltiplo de los denominadores)
![]()
dividimos 24 entre el denominador y multiplicamos por el numerador
![]()
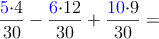
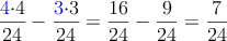
– b) 
Como tienen distinto denominador, debemos reducirlas a común denominador (calculando el mínimo común múltiplo de los denominadores)
![]()
dividimos 30 entre el denominador y multiplicamos por el numerador
![]()
![]()
![]()