fracciones operaciones
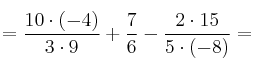
Calcula y simplifica:

SOLUCIÓN

Tienen preferencia productos y cocientes


No debe haber signos negativos en los denominadores

![]()
![]()
![]()
![]()


Calcula y simplifica:


Tienen preferencia productos y cocientes


No debe haber signos negativos en los denominadores

![]()
![]()
![]()
![]()

