• Apuntes
  • Vídeos
  • Ejercicios
    • Resueltos
    • Por Curso
      • 1º ESO
      • 2º ESO
      • 3º ESO
      • 4º ESO
      • 1º BACH. CIENCIAS
      • 1º BACH. SOCIALES
      • 2º BACH. CIENCIAS
      • 2º BACH. SOCIALES
  • Más recursos
    • Actividades Interactivas
    • Selectividad (PAU)
    • Acceso Mayores 25
    • LaTeX
Inicio ›EJERCICIOS de Matemáticas ›2º ESO ›Números Enteros ›Suma, resta y producto de números enteros

Suma, resta y producto de números enteros

Ejercicios_Resueltosenterosoperaciones

Calcula:

– a) 6 \cdot (-3) + 5 \cdot (-2)+(-5) \cdot (-4) =
– b) (-5) \cdot (-4) =

SOLUCIÓN

– a)

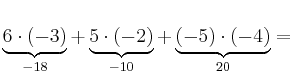
6 \cdot (-3) + 5 \cdot (-2)+(-5) \cdot (-4) =


Debemos hacer los productos primero

\underbrace{6 \cdot (-3)}_{-18} + \underbrace{5 \cdot (-2)}_{-10}+\underbrace{(-5) \cdot (-4)}_{20} =


-18 -10+20 = -8

– b) (-5) \cdot (-4) = 20

Comentar el ejercicio

  • 2º ESO
    • Fracciones
    • Potencias
    • Radicales
    • Números Enteros
    • Proporcionalidad
    • Geometría
    • Ecuaciones
    • Polinomios
    • Gráficas y Funciones 2º ESO
  • Mapa del sitio
  • Conectarse
  • 2001-2026 — Matemáticas IES — Contactar con Dani