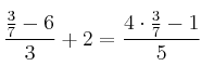
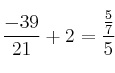
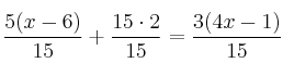
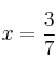
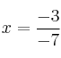
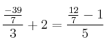
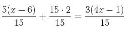
ecuaciones primer grado con denominadores 💬 2 ecuacionesecuaciones con denominadoresecuaciones de primer gradoEjercicios_Resueltos Resuelve la ecuación: SOLUCIÓN m.c.m.(3,1,5)=15 Comentar el ejercicio Mensajes 19 de agosto de 2007, 15:03, por dani Resolvemos la ecuación Aunque en estas ecuaciones no es obligatorio verificar las soluciones, resulta un práctico y didáctico ejercicio su comprobación Simplificamos ambas fracciones La igualdad obtenida es cierta, por tanto la solución es correcta 14 de marzo de 2012, 13:08 Hay otras formas de acerlo y ahora nose si lo tengo bien o mal :((
Mensajes
19 de agosto de 2007, 15:03, por dani
Resolvemos la ecuación

Aunque en estas ecuaciones no es obligatorio verificar las soluciones, resulta
un práctico y didáctico ejercicio su comprobación
Simplificamos ambas fracciones
La igualdad obtenida es cierta, por tanto la solución es correcta
14 de marzo de 2012, 13:08
Hay otras formas de acerlo y ahora nose si lo tengo bien o mal :((