ecuaciones irracionales
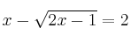
Resuelve la ecuación: ![]()
SOLUCIÓN
![]()
Se trata de una ecuación irracional.
Primero aislamos la raíz
![]()
Ahora elevamos al cuadrado ambos miembros para eliminar la reíz
![]()
![]()
![]()
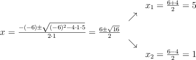
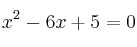
Obtenemos una ecuación de segundo grado. La ordenamos y aplicamos la fórmula
![]()

Recordemos que en las ecuaciones irracionales hay que verificar las soluciones en la ecuación original
NO es válida
SI es válida
Por tanto, la única solución de la ecuación es 