ecuaciones irracionales
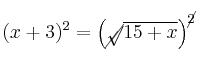
Resuelve la ecuación ![]()
SOLUCIÓN
Elevamos ambos miembros al cuadrado para eliminar la raíz


![]()
![]()
![]()
![]()
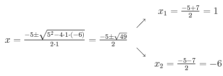
Resolvemos la ecuación de segundo grado

Verificamos las soluciones:
Si ![]()
VERDADERO
Si ![]()
FALSO
Por tanto la única solución es 
Resuelve la ecuación ![]()
Elevamos ambos miembros al cuadrado para eliminar la raíz


![]()
![]()
![]()
![]()

Verificamos las soluciones:
Si ![]()
VERDADERO
Si ![]()
FALSO
Por tanto la única solución es 
Mensajes
13 de julio de 2019, 06:37, por Marco
Esta mal sale 3 resuelvelo
16 de julio de 2019, 09:03, por dani
La tienes resuelta paso a paso.
El resultado es correcto.