• Apuntes
  • Vídeos
  • Ejercicios
    • Resueltos
    • Por Curso
      • 1º ESO
      • 2º ESO
      • 3º ESO
      • 4º ESO
      • 1º BACH. CIENCIAS
      • 1º BACH. SOCIALES
      • 2º BACH. CIENCIAS
      • 2º BACH. SOCIALES
  • Más recursos
    • Actividades Interactivas
    • Selectividad (PAU)
    • Acceso Mayores 25
    • LaTeX
Inicio ›EJERCICIOS de Matemáticas ›3º ESO ›Ecuaciones ›ecuaciones grado2 incompleta

ecuaciones grado2 incompleta

ecuacionesecuaciones-segundo-gradoEjercicios_Resueltosincompleta

Resuelve la ecuación:  4x^2-25=0

SOLUCIÓN

 4x^2-25=0
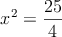
 4x^2=25
 x^2=\frac{25}{4}
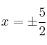
 x=\pm \sqrt{\frac{25}{4}} =\pm \frac{\sqrt{25}}{\sqrt{4}}

x=\pm \frac{5}{2}

Comentar el ejercicio

  • 3º ESO
    • Sistemas de ecuaciones
    • Ecuaciones
    • Polinomios
    • Radicales
    • Potencias
    • Proporcionalidad y Porcentajes
    • Números Reales
    • Funciones y Gráficas
    • Sucesiones
    • Probabilidad
    • Geometría
    • Estadística
    • Problemas especiales
  • Mapa del sitio
  • Conectarse
  • 2001-2026 — Matemáticas IES — Contactar con Dani