ecuaciones grado1 paréntesis 💬 3 ecuacionesecuaciones de primer gradoecuaciones_con_paréntesisEjercicios_Resueltos Resuelve la ecuación: SOLUCIÓN Quitamos denominadores Comentar el ejercicio Mensajes 15 de junio de 2006, 00:11, por dani 18 de agosto de 2007, 15:24, por dani Veamos que la solución verifica la ecuación: Para ello sustituimos en la ecuación por el valor Sustituimos por Operamos dentro de los paréntesis y sin olvidar la prioridad de las operaciones (productos antes que sumas o restas) La igualdad es cierta, por tanto la solución es correcta 27 de mayo de 2011, 11:06, por raquel quisiera saber como han hecho para el resultado de esa fraccion; (2*1/2)= 1-1 – 5+1/2=-9/2
Mensajes
15 de junio de 2006, 00:11, por dani
18 de agosto de 2007, 15:24, por dani
Veamos que la solución
verifica la ecuación:
por el valor 
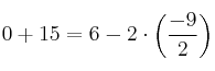
Para ello sustituimos en la ecuación
Sustituimos
por 
Operamos dentro de los paréntesis y sin olvidar la prioridad de las operaciones (productos antes que sumas o restas)
La igualdad
es cierta, por tanto la solución
es correcta
27 de mayo de 2011, 11:06, por raquel
quisiera saber como han hecho para el resultado de esa fraccion;
(2*1/2)= 1-1
– 5+1/2=-9/2