• Apuntes
  • Vídeos
  • Ejercicios
    • Resueltos
    • Por Curso
      • 1º ESO
      • 2º ESO
      • 3º ESO
      • 4º ESO
      • 1º BACH. CIENCIAS
      • 1º BACH. SOCIALES
      • 2º BACH. CIENCIAS
      • 2º BACH. SOCIALES
  • Más recursos
    • Actividades Interactivas
    • Selectividad (PAU)
    • Acceso Mayores 25
    • LaTeX
Inicio ›EJERCICIOS de Matemáticas ›3º ESO ›Ecuaciones ›ecuaciones grado1 denominadores

ecuaciones grado1 denominadores

ecuaciones con denominadoresecuaciones de primer gradoEjercicios_Resueltos

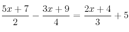
Resuelve la ecuación:

\frac{5x+7}{2} - \frac{3x+9}{4} = \frac{2x+4}{3} + 5

SOLUCIÓN

\frac{5x+7}{2} - \frac{3x+9}{4} = \frac{2x+4}{3} + 5

m.c.m(2,4,3) = 12

\frac{6 \cdot(5x+7)}{12} - \frac{3 \cdot (3x+9)}{12} = \frac{4 \cdot (2x+4)}{12} + \frac{5 \cdot 12}{12}

6 \cdot(5x+7) -3 \cdot (3x+9) =4 \cdot (2x+4) +5 \cdot 12

30x+42 -9x-27 =8x+16 + 60

30x -9x-8x =16 + 60-42+27

13x =61 \longrightarrow \color{red}{x=\frac{61}{13}}

Comentar el ejercicio

  • 3º ESO
    • Sistemas de ecuaciones
    • Ecuaciones
    • Polinomios
    • Radicales
    • Potencias
    • Proporcionalidad y Porcentajes
    • Números Reales
    • Funciones y Gráficas
    • Sucesiones
    • Probabilidad
    • Geometría
    • Estadística
    • Problemas especiales
  • Mapa del sitio
  • Conectarse
  • 2001-2026 — Matemáticas IES — Contactar con Dani