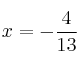
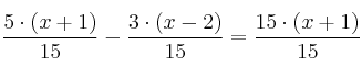
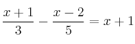
ecuaciones grado1 denominadores 💬 3 ecuacionesecuaciones con denominadoresecuaciones de primer gradoEjercicios_Resueltos Resuelve la ecuación: SOLUCIÓN Ponemos denominador a los términos que no tengan Hacemos el m.c.m. de los denominadores: m.c.m.(3,5,1) = 15 Quitamos denominadores Quitamos paréntesis Comentar el ejercicio Mensajes 4 de marzo de 2012, 21:00, por pepi comooooo se haceeeee ?????????????????? 16 de marzo de 2012, 11:46 Primero quita denominadores (m.c.m.). Después pasa todas las x a un lado y los números sin x detrás del igual. Y ya sólo tienes que resolver. 19 de abril de 2013, 14:39, por LILIANA CUELLO X+1.5(DENOMINADOR)Y (-x-2).3 =x+1.Con m.d.m 15 .y ya aplico la distributiva...5x+5-3x-6 todo c denominador comun 15. 5x/15-3x/15-x=-5/15-6/15+1 y ahora calcula x=-13/15 Y 4/15....4/15.15/13=4/13
Mensajes
4 de marzo de 2012, 21:00, por pepi
comooooo se haceeeee ??????????????????
16 de marzo de 2012, 11:46
Primero quita denominadores (m.c.m.). Después pasa todas las x a un lado y los números sin x detrás del igual. Y ya sólo tienes que resolver.
19 de abril de 2013, 14:39, por LILIANA CUELLO
X+1.5(DENOMINADOR)Y (-x-2).3 =x+1.Con m.d.m 15 .y ya aplico la distributiva...5x+5-3x-6 todo c denominador comun 15. 5x/15-3x/15-x=-5/15-6/15+1 y ahora calcula x=-13/15 Y 4/15....4/15.15/13=4/13