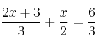
ecuaciones grado1 denominadores 💬 2 ecuacionesecuaciones con denominadoresecuaciones de primer gradoEjercicios_ResueltosPIZARRA Resuelve la ecuación: SOLUCIÓN x=6/7 Comentar el ejercicio Mensajes 17 de noviembre de 2011, 14:08, por yoe no entiendo la parte donde estan los n°6 en la parte donde estan los tres seguidos 19 de abril de 2013, 14:18, por LILIANA CUELLO 4x+6+3x =6.3=18 4x+3x=7x —18-6=12 7x=12.1/7=12/7 x=12/7 No es 6/7 porque el resultado es 6/3 0 sea 3 2.12/7/3+12/7/2=6/3 o sea 3
Mensajes
17 de noviembre de 2011, 14:08, por yoe
no entiendo la parte donde estan los n°6 en la parte donde estan los tres seguidos
19 de abril de 2013, 14:18, por LILIANA CUELLO
4x+6+3x =6.3=18 4x+3x=7x —18-6=12 7x=12.1/7=12/7 x=12/7 No es 6/7 porque el resultado es 6/3 0 sea 3 2.12/7/3+12/7/2=6/3 o sea 3