• Apuntes
  • Vídeos
  • Ejercicios
    • Resueltos
    • Por Curso
      • 1º ESO
      • 2º ESO
      • 3º ESO
      • 4º ESO
      • 1º BACH. CIENCIAS
      • 1º BACH. SOCIALES
      • 2º BACH. CIENCIAS
      • 2º BACH. SOCIALES
  • Más recursos
    • Actividades Interactivas
    • Selectividad (PAU)
    • Acceso Mayores 25
    • LaTeX
Inicio ›EJERCICIOS de Matemáticas ›1º ESO ›Ecuaciones ›ecuaciones grado1 denominadores

ecuaciones grado1 denominadores

💬 1

  ecuacionesecuaciones con denominadoresecuaciones de primer gradoEjercicios_Resueltos

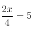
Resuelve la ecuación: \frac{2x}{4}=5

SOLUCIÓN

\frac{2x}{4}=5


Podemos pasar el 4 (que está dividiendo) al otro lado (multiplicando)

2x=5 \cdot 4


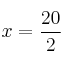
2x=20


x=\frac{20}{2}


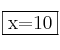
 \fbox{x=10}

Comentar el ejercicio

Mensajes

  • 18 de diciembre de 2006, 11:20, por dani

    x=10

  • 1º ESO
    • Ecuaciones
    • Fracciones
    • Geometría
    • Medidas
    • Naturales
    • Enteros
    • Decimales
    • Potencias y raíces
    • Estadística
    • Probabilidad
    • Tablas y Gráficas
    • Proporcionalidad y Porcentajes
  • Mapa del sitio
  • Conectarse
  • 2001-2026 — Matemáticas IES — Contactar con Dani