despejar variable
Despeja
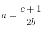
en la expresión: 
SOLUCIÓN

Nunca debemos despejar una variable que se encuentre en un denominador.
En este caso la forma más fácil de eliminar denominadores es pasar el "2a" (que está dividiendo) multiplicando al otro lado del signo igual.
![]()
Ahora el "2b" (que está multiplicando) lo pasamos dividiendo al otro miembro:
