UNED A25 - 2013 Junio Modelo A Ejercicio 9
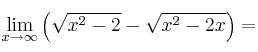
El valor de
es:
SOLUCIÓN
Si sustituimos
por
obtenemos una indeterminación del tipo
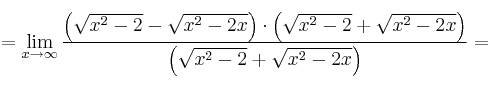
, que cuando hay raíces se resuelve multiplicando y dividiendo por la expresión conjugada


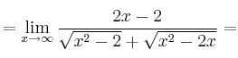
En el numerador aplicamos "suma por diferencia = diferencia de cuadrados" y operamos

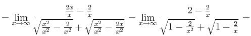
Ahora se obtiene una indeterminación del tipo
que se resuelve dividiendo por
(que será
dentro de la raíz)

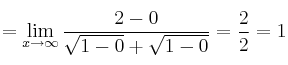
Finalmente sustituimos
por
y obtenemos
