• Apuntes
  • Vídeos
  • Ejercicios
    • Resueltos
    • Por Curso
      • 1º ESO
      • 2º ESO
      • 3º ESO
      • 4º ESO
      • 1º BACH. CIENCIAS
      • 1º BACH. SOCIALES
      • 2º BACH. CIENCIAS
      • 2º BACH. SOCIALES
  • Más recursos
    • Actividades Interactivas
    • Selectividad (PAU)
    • Acceso Mayores 25
    • LaTeX
Inicio ›Acceso Mayores 25 - UNED ›Acceso25 Matemáticas (Ciencias) ›UNED A25 - 2012 Septiembre G 02

UNED A25 - 2012 Septiembre G 02

2012SGfunciones_continuidad UNEDmat_ciencias

La función  
f(x)= \left\{ \begin{array}{lcc}
              2x-3 &   si  & x \leq 1 
              \\ x^2-1 &  si  & x > 1 
              \end{array}
    \right.
es:

– A) Es Continua en x=1
– B) Es Discontinua en x=1
– C) No está definida en x=1

SOLUCIÓN

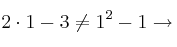
2 \cdot 1 - 3 \neq 1^2-1 \rightarrow es discontinua en x=1

Comentar el ejercicio

Matemáticas (ciencias)

  • 2013 Junio Modelo A
  • 2012 Sept. Modelo M
  • 2012 Sept. Modelo G
  • 2012 Junio Modelo D
  • 2012 Junio Modelo M
  • 2012 Junio Modelo N
  • 2011 Sept. Modelo 4

Por tipo de ejercicio

  • combinatoria UNED
  • composición_de_funciones UNED
  • derivadas UNED
  • dominio_de_una_función UNED
  • ecuación_de_la_recta UNED
  • funciones_asíntotas UNED
  • funciones_continuidad UNED
  • funciones_extremos UNED
  • funciones_inflexión UNED
  • integrales UNED
  • límites_de_funciones UNED
  • matrices UNED
  • polinomios UNED
  • probabilidad UNED
  • sistemas_de_ecuaciones UNED
  • trigonometría UNED
  • vectores_en_el_espacio UNED
  • vectores_en_el_plano UNED
  • Mapa del sitio
  • Conectarse
  • 2001-2026 — Matemáticas IES — Contactar con Dani