UNED A25 - 2012 Junio N 04
Los vectores
,
y ![]()
– A) Son linealmente independientes para
– B) Son linealmente dependientes para
– C) Son un sistema de generadores del espacio ![]()
SOLUCIÓN

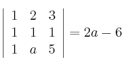
, por tanto:
Son linealmente dependientes si ![]()
Los vectores
,
y ![]()
– A) Son linealmente independientes para
– B) Son linealmente dependientes para
– C) Son un sistema de generadores del espacio ![]()

, por tanto:
Son linealmente dependientes si ![]()